- (1)化学与自然资源的开发利用(下)例1-例4
- (2)化学与自然资源的开发利用(下)例5-例7
- (2)化学与自然资源的开发利用(中)第2段
- (3)化学与自然资源的开发利用(中)第3段
- (1)化学与自然资源的开发利用(中)第1段
- (2)化学与自然资源的开发利用(上)第2段
- (2)常见的有机物-醇和酸(下)例3-例5
- (1)化学与自然资源的开发利用(上)第1段
- (1)基本营养物质(下)第1段
- (2)基本营养物质(下)第2段
- (3)基本营养物质(上)第3段
- (2)常见的有机物-醇和酸(中)第2段
- (2)基本营养物质(上)第2段
- (1)基本营养物质(上)第1段
- (4)常见的有机物-醇和酸(下)例11-例14
- (1)常见的有机物-醇和酸(中)第1段
- (2)常见的有机物-醇和酸(上)第2段
- (1)常见的有机物-醇和酸(上)第1段
- (3)化学反应速率和限度专题(下)例7-例11
- (2)化学反应速率和限度专题(下)例3-例6
- (3)常见的有机物-醇和酸(下)例6-例10
- (3)化学反应速率和限度专题(中)第3段
- (1)化学反应速率和限度专题(下)例1-例2
- (2)化学反应速率和限度专题(中)第2段
- (1)常见的有机物-醇和酸(下)例1-例2
- (2)化学反应速率和限度专题(上)第2段
- (3)原电池专题(四)第3段
- (2)原电池专题(三)第2段
- (1)原电池专题(三)第1段
- (1)化学反应速率和限度专题(中)第1段
- (3)分子结构和次级键介绍(下)第3段
- (2)分子结构和次级键介绍(下)第2段
- (1)分子结构和次级键介绍(下)第1段
- (3)分子结构和次级键介绍(中)第3段
- (2)分子结构和次级键介绍(中)第2段
- (1)分子结构和次级键介绍(中)第1段
- (2)分子结构和次级键介绍(上)第2段
- (1)分子结构和次级键介绍(上)第1段
- (4)原电池专题(四)第4段
- (2)原电池专题(四)第2段
- (1)原电池专题(四)第1段
- (2)元素周期律(中)第2段
- (2)原电池专题(二)第2段
- (1)原电池专题(二)第1段
- (2)原电池专题(一)第2段
- (1)原电池专题(一)第1段
- (2)元素周期律和元素化合物性质(一)第2段
- (1)元素周期律和元素化合物性质(一)第1段
- (3)简单的有机物-烃(中)第3段
- (2)元素周期表推断(下)第2段
第一章 物质结构 元素周期律
第一节 元素周期表
第二节 元素周期律
第三节 化学键
归纳与整理
第二章 化学反应与能量
第一节 化学能与热能 第二节 化学能与电能 第三节 化学反应的速率和限度
归纳与整理
第三章 有机化合物
第一节 最简单的有机化合物——甲烷
第二节 来自石油和煤的两种基本化工原料
第三节 生活中两种常见的有机物
第四节 基本营养物质 归纳与整理
第四章 化学与自然资源的开发利用
第一节 开发利用金属矿物和海水资源
第二节 资源综合利用 环境保护
一、原子结构

注意:质量数(A)=质子数(Z)+中子数(N)
原子序数=核电荷数=质子数=原子的核外电子数
熟背前20号元素,熟悉1~20号元素原子核外电子的排布:
H He Li Be B C N O F Ne Na Mg Al Si P S Cl Ar K Ca
2.原子核外电子的排布规律:
①电子总是尽先排布在能量最低的电子层里;
②各电子层最多容纳的电子数是2n2;
③最外层电子数不超过8个(K层为最外层不超过2个),次外层不超过18个,倒数第三层电子数不超过32个。
3.元素、核素、同位素
元素:具有相同核电荷数的同一类原子的总称。
核素:具有一定数目的质子和一定数目的中子的一种原子。
同位素:质子数相同而中子数不同的同一元素的不同原子互称为同位素。(对于原子来说)
二、元素周期表
1.编排原则:
①按原子序数递增的顺序从左到右排列
②将电子层数相同的各元素从左到右排成一横行。(周期序数=原子的电子层数)
③把最外层电子数相同的元素按电子层数递增的顺序从上到下排成一纵行。
主族序数=原子最外层电子数
2.结构特点:

三、元素周期律
1.元素周期律:元素的性质(核外电子排布、原子半径、主要化合价、金属性、非金属性)随着核电荷数的递增而呈周期性变化的规律。元素性质的周期性变化实质是元素原子核外电子排布的周期性变化的必然结果。
2.同周期元素性质递变规律


第ⅠA族碱金属元素:Li Na K Rb Cs Fr(Fr是金属性最强的元素,位于周期表左下方)
第ⅦA族卤族元素:F Cl Br I At(F是非金属性最强的元素,位于周期表右上方)
判断元素金属性和非金属性强弱的方法:
(1)金属性强(弱)——①单质与水或酸反应生成氢气容易(难);②氢氧化物碱性强(弱);③相互置换反应(强制弱)Fe+CuSO4=FeSO4+Cu。
(2)非金属性强(弱)——①单质与氢气易(难)反应;②生成的氢化物稳定(不稳定);③最高价氧化物的水化物(含氧酸)酸性强(弱);④相互置换反应(强制弱)2NaBr+Cl2=2NaCl+Br2。
同周期比较:
金属性:Na>Mg>Al 与酸或水反应:从易→难 碱性:NaOH>Mg(OH)2>Al(OH)3 | 非金属性:Si<P<S<Cl 单质与氢气反应:从难→易 氢化物稳定性:SiH4<PH3<H2S<HCl 酸性(含氧酸):H2SiO3<H3PO4<H2SO4<HClO4 |
同主族比较:
金属性:Li<Na<K<Rb<Cs(碱金属元素) 与酸或水反应:从难→易 碱性:LiOH<NaOH<KOH<RbOH<CsOH | 非金属性:F>Cl>Br>I(卤族元素) 单质与氢气反应:从易→难 氢化物稳定:HF>HCl>HBr>HI |
金属性:Li<Na<K<Rb<Cs 还原性(失电子能力):Li<Na<K<Rb<Cs 氧化性(得电子能力):Li+>Na+>K+>Rb+>Cs+ | 非金属性:F>Cl>Br>I 氧化性:F2>Cl2>Br2>I2 还原性:F-<Cl-<Br-<I- 酸性(无氧酸):HF<HCl<HBr<HI |
比较粒子(包括原子、离子)半径的方法:
(1)先比较电子层数,电子层数多的半径大。
(2)电子层数相同时,再比较核电荷数,核电荷数多的半径反而小。
四、化学键
化学键是相邻两个或多个原子间强烈的相互作用。
1.离子键与共价键的比较
键型 | 离子键 | 共价键 |
概念 | 阴阳离子结合成化合物的静电作用叫离子键 | 原子之间通过共用电子对所形成的相互作用叫做共价键 |
成键方式 | 通过得失电子达到稳定结构 | 通过形成共用电子对达到稳定结构 |
成键粒子 | 阴、阳离子 | 原子 |
成键元素 | 活泼金属与活泼非金属元素之间(特殊:NH4Cl、NH4NO3等铵盐只由非金属元素组成,但含有离子键) | 非金属元素之间 |
离子化合物:由离子键构成的化合物叫做离子化合物。(一定有离子键,可能有共价键)
共价化合物:原子间通过共用电子对形成分子的化合物叫做共价化合物。(只有共价键)

2.电子式:
用电子式表示离子键形成的物质的结构与表示共价键形成的物质的结构的不同点:
(1)电荷:用电子式表示离子键形成的物质的结构需标出阳离子和阴离子的电荷;而表示共价键形成的物质的结构不能标电荷。
(2)[ ](方括号):离子键形成的物质中的阴离子需用方括号括起来,而共价键形成的物质中不能用方括号。
第二章 化学反应与能量
第一节 化学能与热能
1、在任何的化学反应中总伴有能量的变化。
原因:当物质发生化学反应时,断开反应物中的化学键要吸收能量,而形成生成物中的化学键要放出能量。化学键的断裂和形成是化学反应中能量变化的主要原因。
一个确定的化学反应在发生过程中是吸收能量还是放出能量,取决于反应物的总能量与生成物的总能量的相对大小。E反应物总能量>E生成物总能量,为放热反应。E反应物总能量<E生成物总能量,为吸热反应。
2、常见的放热反应和吸热反应
常见的放热反应:
①所有的燃烧与缓慢氧化。
②酸碱中和反应。
③金属与酸反应制取氢气。
④大多数化合反应(特殊:是吸热反应)。
常见的吸热反应:
①以C、H2、CO为还原剂的氧化还原反应如:
②铵盐和碱的反应如Ba(OH)2·8H2O+NH4Cl=BaCl2+2NH3↑+10H2O
③大多数分解反应如KClO3、KMnO4、CaCO3的分解等。
3、能源的分类:
形成条件 | 利用历史 | 性质 | |
一次能源 | 常规能源 | 可再生资源 | 水能、风能、生物质能 |
不可再生资源 | 煤、石油、天然气等化石能源 | ||
新能源 | 可再生资源 | 太阳能、风能、地热能、潮汐能、氢能、沼气 | |
不可再生资源 | 核能 | ||
二次能源 | (一次能源经过加工、转化得到的能源称为二次能源) 电能(水电、火电、核电)、蒸汽、工业余热、酒精、汽油、焦炭等 |
【思考】一般说来,大多数化合反应是放热反应,大多数分解反应是吸热反应,放热反应都不需要加热,吸热反应都需要加热,这种说法对吗?试举例说明。
点拔:这种说法不对。如C+O2=CO2的反应是放热反应,但需要加热,只是反应开始后不再需要加热,反应放出的热量可以使反应继续下去。Ba(OH)2·8H2O与NH4Cl的反应是吸热反应,但反应并不需要加热。
第二节 化学能与电能
1、化学能转化为电能的方式:
电能 (电力) | 火电(火力发电) | 化学能→热能→机械能→电能 | 缺点:环境污染、低效 |
原电池 | 将化学能直接转化为电能 | 优点:清洁、高效 |
2、原电池原理
(1)概念:把化学能直接转化为电能的装置叫做原电池。
(2)原电池的工作原理:通过氧化还原反应(有电子的转移)把化学能转变为电能。
(3)构成原电池的条件:
①电极为导体且活泼性不同;
②两个电极接触(导线连接或直接接触);
③两个相互连接的电极插入电解质溶液构成闭合回路。
(4)电极名称及发生的反应:
负极:
较活泼的金属作负极,负极发生氧化反应
电极反应式:较活泼金属-ne-=金属阳离子
负极现象:负极溶解,负极质量减少
正极:
较不活泼的金属或石墨作正极,正极发生还原反应
电极反应式:溶液中阳离子+ne-=单质
正极的现象:一般有气体放出或正极质量增加
(5)原电池正负极的判断方法:
①依据原电池两极的材料:
较活泼的金属作负极(K、Ca、Na太活泼,不能作电极);
较不活泼金属或可导电非金属(石墨)、氧化物(MnO2)等作正极。
②根据电流方向或电子流向:(外电路)的电流由正极流向负极;电子则由负极经外电路流向原电池的正极。
③根据内电路离子的迁移方向:阳离子流向原电池正极,阴离子流向原电池负极。
④根据原电池中的反应类型:
负极:失电子,发生氧化反应,现象通常是电极本身消耗,质量减小。
正极:得电子,发生还原反应,现象是常伴随金属的析出或H2的放出。
(6)原电池电极反应的书写方法:
①原电池反应所依托的化学反应原理是氧化还原反应,负极反应是氧化反应,正极反应是还原反应。因此书写电极反应的方法归纳如下:
写出总反应方程式;
把总反应根据电子得失情况,分成氧化反应、还原反应;
氧化反应在负极发生,还原反应在正极发生,反应物和生成物对号入座,注意酸碱介质和水等参与反应。
②原电池的总反应式一般把正极和负极反应式相加而得。
(7)原电池的应用:
①加快化学反应速率,如粗锌制氢气速率比纯锌制氢气快。
②比较金属活动性强弱。
③设计原电池。
④金属的腐蚀。
3、化学电源基本类型:
①干电池:活泼金属作负极,被腐蚀或消耗。如:Cu-Zn原电池、锌锰电池。
②充电电池:两极都参加反应的原电池,可充电循环使用。如铅蓄电池、锂电池和银锌电池等。
③燃料电池:两电极材料均为惰性电极,电极本身不发生反应,而是由引入到两极上的物质发生反应,如H2、CH4燃料电池,其电解质溶液常为碱性试剂(KOH等)。
第三节 化学反应的速率和限度
1、化学反应的速率
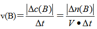
(1)概念:化学反应速率通常用单位时间内反应物浓度的减少量或生成物浓度的增加量(均取正值)来表示。
计算公式:

①单位:mol/(L·s)或mol/(L·min)
②B为溶液或气体,若B为固体或纯液体不计算速率。
③以上所表示的是平均速率,而不是瞬时速率。
④重要规律:
速率比=方程式系数比
变化量比=方程式系数比
(2)影响化学反应速率的因素:
内因:由参加反应的物质的结构和性质决定的(主要因素)。
外因:①温度:升高温度,增大速率
②催化剂:一般加快反应速率(正催化剂)
③浓度:增加C反应物的浓度,增大速率(溶液或气体才有浓度可言)
④压强:增大压强,增大速率(适用于有气体参加的反应)
⑤其它因素:如光(射线)、固体的表面积(颗粒大小)、反应物的状态(溶剂)、原电池等也会改变化学反应速率。
2、化学反应的限度——化学平衡
(1)在一定条件下,当一个可逆反应进行到正向反应速率与逆向反应速率相等时,反应物和生成物的浓度不再改变,达到表面上静止的一种“平衡状态”,这就是这个反应所能达到的限度,即化学平衡状态。
化学平衡的移动受到温度、反应物浓度、压强等因素的影响。催化剂只改变化学反应速率,对化学平衡无影响。
在相同的条件下同时向正、逆两个反应方向进行的反应叫做可逆反应。通常把由反应物向生成物进行的反应叫做正反应。而由生成物向反应物进行的反应叫做逆反应。
在任何可逆反应中,正方应进行的同时,逆反应也在进行。可逆反应不能进行到底,即是说可逆反应无论进行到何种程度,任何物质(反应物和生成物)的物质的量都不可能为0。
(2)化学平衡状态的特征:逆、动、等、定、变。
①逆:化学平衡研究的对象是可逆反应。
②动:动态平衡,达到平衡状态时,正逆反应仍在不断进行。
③等:达到平衡状态时,正方应速率和逆反应速率相等,但不等于0。即v正=v逆≠0。
④定:达到平衡状态时,各组分的浓度保持不变,各组成成分的含量保持一定。
⑤变:当条件变化时,原平衡被破坏,在新的条件下会重新建立新的平衡。
(3)判断化学平衡状态的标志:
①VA(正方向)=VA(逆方向)或nA(消耗)=nA(生成)(不同方向同一物质比较)
②各组分浓度保持不变或百分含量不变
③借助颜色不变判断(有一种物质是有颜色的)
④总物质的量或总体积或总压强或平均相对分子质量不变(前提:反应前后气体的总物质的量不相等的反应适用,即如对于反应)
第三章 有机化合物
绝大多数含碳的化合物称为有机化合物,简称有机物。像CO、CO2、碳酸、碳酸盐等少数化合物,由于它们的组成和性质跟无机化合物相似,因而一向把它们作为无机化合物。
一、烃
1、烃的定义:仅含碳和氢两种元素的有机物称为碳氢化合物,也称为烃。
2、烃的分类:

3、甲烷、乙烯和苯的性质比较:
有机物 | 烷烃 | 烯烃 | 苯及其同系物 |
通式 | CnH2n+2 | CnH2n | —— |
代表物 | 甲烷(CH4) | 乙烯(C2H4) | 苯(C6H6) |
结构简式 | CH4 | CH2=CH2 | 或 |
(官能团) 结构特点 | C-C单键, 链状,饱和烃 | C=C双键, 链状,不饱和烃 | 一种介于单键和双键之间的独特的键,环状 |
空间结构 | 正四面体 | 六原子共平面 | 平面正六边形 |
物理性质 | 无色无味的气体,比空气轻,难溶于水 | 无色稍有气味的气体,比空气略轻,难溶于水 | 无色有特殊气味的液体,比水轻,难溶于水 |
用途 | 优良燃料,化工原料 | 石化工业原料,植物生长调节剂,催熟剂 | 溶剂,化工原料 |
有机物 | 主 要 化 学 性 质 |
烷烃: 甲烷 | ①氧化反应(燃烧) CH4+2O2――→CO2+2H2O(淡蓝色火焰,无黑烟) ②取代反应 (注意光是反应发生的主要原因,产物有5种) CH4+Cl2―→CH3Cl+HCl CH3Cl +Cl2―→CH2Cl2+HCl CH2Cl2+Cl2―→CHCl3+HCl CHCl3+Cl2―→CCl4+HCl 在光照条件下甲烷还可以跟溴蒸气发生取代反应,甲烷不能使酸性KMnO4溶液、溴水或溴的四氯化碳溶液褪色。 |
烯烃: 乙烯 | ①氧化反应 (ⅰ)燃烧 C2H4+3O2――→2CO2+2H2O(火焰明亮,有黑烟) (ⅱ)被酸性KMnO4溶液氧化,能使酸性KMnO4溶液褪色。 ②加成反应 CH2=CH2+Br2-→CH2Br-CH2Br(能使溴水或溴的四氯化碳溶液褪色) 在一定条件下,乙烯还可以与H2、Cl2、HCl、H2O等发生加成反应 CH2=CH2+H2――→CH3CH3 CH2=CH2+HCl-→CH3CH2Cl(氯乙烷) CH2=CH2+H2O――→CH3CH2OH(制乙醇) ③加聚反应 nCH2=CH2――→-CH2-CH2-n(聚乙烯) 乙烯能使酸性KMnO4溶液、溴水或溴的四氯化碳溶液褪色。常利用该反应鉴别烷烃和烯烃,如鉴别甲烷和乙烯。 |
苯 | ①氧化反应(燃烧) 2C6H6+15O2―→12CO2+6H2O(火焰明亮,有浓烟) ②取代反应 苯环上的氢原子被溴原子、硝基取代。 ③加成反应
苯不能使酸性KMnO4溶液、溴水或溴的四氯化碳溶液褪色。 |
4、同系物、同分异构体、同素异形体、同位素比较。
概念 | 同系物 | 同分异构体 | 同素异形体 | 同位素 |
定义 | 结构相似,在分子组成上相差一个或若干个CH2原子团的物质 | 分子式相同而结构式不同的化合物的互称 | 由同种元素组成的不同单质的互称 | 质子数相同而中子数不同的同一元素的不同原子的互称 |
分子式 | 不同 | 相同 | 元素符号表示相同,分子式可不同 | —— |
结构 | 相似 | 不同 | 不同 | —— |
研究对象 | 化合物 | 化合物 | 单质 | 原子 |
5、烷烃的命名:
(1)普通命名法:把烷烃泛称为“某烷”,某是指烷烃中碳原子的数目。1-10用甲,乙,丙,丁,戊,已,庚,辛,壬,癸;11起汉文数字表示。
区别同分异构体,用“正”,“异”,“新”:正丁烷,异丁烷;正戊烷,异戊烷,新戊烷。
(2)系统命名法:
①命名步骤:
找主链-最长的碳链(确定母体名称);
编号-靠近支链(小、多)的一端;
(3)写名称-先简后繁,相同基请合并
②名称组成:取代基位置-取代基名称母体名称
③阿拉伯数字表示取代基位置,汉字数字表示相同取代基的个数
6、比较同类烃的沸点:
(1)一看:碳原子数多沸点高。
(2)碳原子数相同,二看:支链多沸点低。常温下,碳原子数1-4的烃都为气体。
二、烃的衍生物
1、乙醇和乙酸的性质比较
有机物 | 饱和一元醇 | 饱和一元醛 | 饱和一元羧酸 |
通式 | CnH2n+1OH | —— | CnH2n+1COOH |
代表物 | 乙醇 | 乙醛 | 乙酸 |
结构简式 | CH3CH2OH 或 C2H5OH | CH3CHO | CH3COOH |
官能团 | 羟基:-OH | 醛基:-CHO | 羧基:-COOH |
物理性质 | 无色、有特殊香味的液体,俗名酒精,与水互溶,易挥发 (非电解质) | —— | 有强烈刺激性气味的无色液体,俗称醋酸,易溶于水和乙醇,无水醋酸又称冰醋酸。 |
用途 | 作燃料、饮料、化工原料;用于医疗消毒,乙醇溶液的质量分数为75% | —— | 有机化工原料,可制得醋酸纤维、合成纤维、香料、燃料等,是食醋的主要成分 |
有机物 | 主 要 化 学 性 质 |
乙醇 | ①与Na的反应 2CH3CH2OH+2Na―→2CH3CH2ONa+H2↑ 乙醇与Na的反应(与水比较): ①相同点:都生成氢气,反应都放热 ②不同点:比钠与水的反应要缓慢 结论:乙醇分子羟基中的氢原子比烷烃分子中的氢原子活泼,但没有水分子中的氢原子活泼。 ②氧化反应 (ⅰ)燃烧 CH3CH2OH+3O2―→2CO2+3H2O (ⅱ)在铜或银催化条件下:可以被O2氧化成乙醛(CH3CHO) 2CH3CH2OH+O2――→2CH3CHO+2H2O ③消去反应 CH3CH2OH――→CH2=CH2↑+H2O |
乙醛 | 氧化反应:醛基(-CHO)的性质-与银氨溶液,新制Cu(OH)2反应
|










